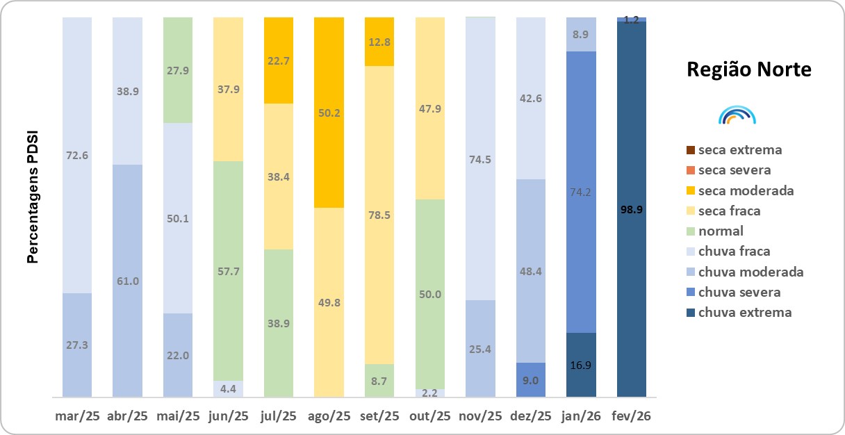
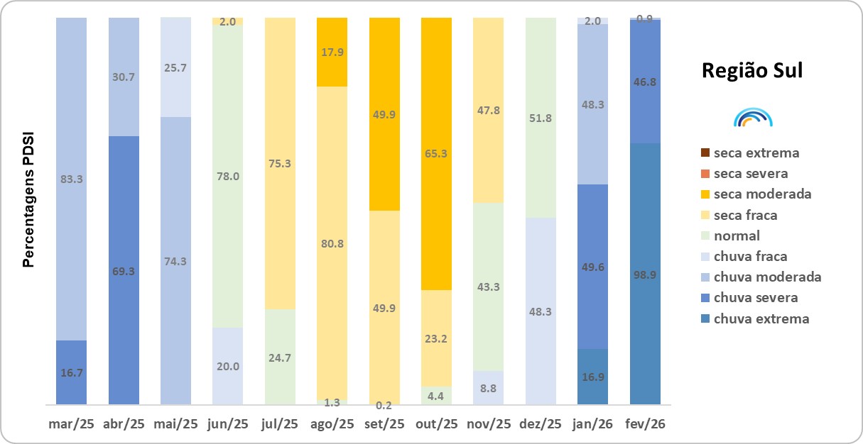
Monitorização da Seca - Índice PDSI - Evolução
Valores mensais da percentagem de território do continente em cada uma das classes de seca meteorológica entre setembro de 2024 e agosto de 2025.
- Setembro 2024: seca meteorológica em cerca de 2/3 do território, variando entre as classes de seca fraca e severa.
- Outubro e novembro 2024: diminuição significativa da área em seca meteorológica, assim como da sua intensidade.
- Dezembro 2024: aumento da área em seca meteorológica.
- Janeiro e fevereiro 2025: diminuição significativa da área em seca meteorológica.
- Março a maio 2025: sem situação seca meteorológica no território.
- Junho a agosto: aumento gradual da área em seca meteorológica.

Precipitação
Precipitação média mensal em Portugal Continental entre setembro 2024 e agosto 2025 e respetivos valores médios referentes ao período 1991-2020.
- Valores de precipitação acima da normal: outubro 2024, janeiro, fevereiro, março e abril de 2025;
- Valores de precipitação inferiores à normal: setembro, novembro e dezembro 2024 e fevereiro, maio, junho, julho e agosto de 2025.

Comparação com o período homólogo da evolução da Seca
